
在對過濾器選型時,阻力損失是必須要確定的的數據,下面我教大家如何計算Y型過濾器、T型過濾器、籃式過濾器阻力損失(注:T型過濾器參照Y型等管件類過濾器,籃式過濾器參照筒殼類過濾器計算)。
Filter resistance loss
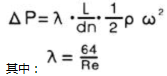
ΔP-阻力損失,Pa
ΔP-Resistance loss,Pa
λ-摩擦系數,無因次
λ-Friction coefficient,Dimensionless
Re-雷諾數,Re=(ω·dn)/u,無因次
Re-Reynolds number,Re=(ω·dn)/u,Dimensionless
ω-流體速度,m/s
ω-Fluid velocity,m/s
ρ-流體密度,kg/m3
ρ-Fluid density,kg/m3
μ-動力粘度,kg/m·s
μ-Dynamic viscosity,kg/m·s
u-運動粘度u=μ/ρ,m2/s
u-movement viscosity u=μ/ρ,m2/s
L-當量直管段長度,m,類管件過濾器查閱下表“類管件過濾器公稱直徑與當量直管段長度關系”
L-Equivalent ascending pipe segment size,m, Kind of fitting filter consult next table "Kind of fitting filter nominal diameter and equivalent ascending pipe segment size relations"
D-類管件過濾器內徑,m
D-type filter tube diameter,m
dn-當量直徑m,類管件過濾器取管件內徑"D",筒殼式過濾器取“4s/c”
dn-Equivalent diameter m ,The kind of fitting filter take the fitting inside diameter "D",The tube shell type filter take"4s/c"
S-液體流通面積,m2
S-Liquid flow area,m2
C-液體濕周(濕潤周長),
C=2X(筒體內徑+筒體高度)m C=2X(筒體內徑+筒體高度)m
C-Liquid wetted perimeter(Moist perimeter)
C=2X(cylinder diameter + cylinder height)m
ξ -入口阻力系數,取1.1
ξ - Entrance friction coefficient, Taking1.1
ξ -出口阻力系數,取0.5
ξ -Export friction coefficient, Taking0.5
類管件過濾器公稱直徑與當量直管段長度關系
| 公稱直徑DN(mm) Nominal diameter DN(mm) | 50 | 80 | 100 | 150 | 200 |
| 當量直管段長度L(×103mm) Equivalent ascending pipe segment size L(×103mm) | 25~30 | 18~23 | 15~20 | 22~38 | 32~40 |
| 公稱直徑DN(mm) Nominal diameter DN(mm) | 250 | 300 | 350 | 400 | 450 |
| 當量直管段長度L(×103mm) Equivalent ascending pipe segment size L(×103mm) | 27~43 | 58~65 | 48~85 | 60~95 | 62~98 |
Category filter tube nominal diameter and length of straight pipe equivalent relations
a.對于“Y型”等管件類過濾器,按下式計算
a.for the "Y-type" , such as tube-type filter, determined using the following equation:

b.對于“筒殼”類過濾器,按下式計算
b.for the "drum shell" type filters, determined using the following equation:

上一篇:過濾器過濾面積及孔目數如何選擇?
下一篇:過濾器在油田污水處理中的應用
